第七节 力

第七节 力
一、什么是力
力是物质之间的相互作用,包括物质之间有接触的相互作用和无接触的相互作用。
二、力的种类
力可分为两大类,一类是无接触的相互作用,需要媒介子的传递,包括三类:道力、磁力、电力。现代物理学中的四种力;引力相互作用,电磁相互作用,强相互作用,弱相互作用,都从属于这三种力,引力从属于道力,电磁力是道力、磁力、电力的共同作用结果,强力和弱力根本就不存在,就是道力、磁力、电力的共同作用。
另一类是有接触的相互作用,不需要媒介子的传递的力,比如摩擦力、推力、拉力、弹力等等。(但从微观角度说:不存在物质与物质的相互接触。)
三、力的关系
道力、磁力、电力之间的关系是道力产生磁力,道力和磁力产生电力,电力中包含有道力和磁力,磁力中包含有道力,道力是所有力的源泉,是力的基础。从作用能力上讲道力大于磁力,磁力大于电力。
这就是为什么原子核永远都不能把电子吸引到核上的原因,因为核外自由电子受到的电力是最小的力,自由电子能否被吸引到核上是道力决定的,主要是道力决定着电子离原子核的距离。道力、磁力、电力的共同作用使电子围绕着原子核旋转,远了拉近,近了推远,运动在一个壳层内(轨道)。光电效应可以证明这一点,如果电子围绕原子核旋转仅仅存在电力,那么当电子吸收了能量后,应该更有力量向原子核飞去,而不是飞出去。
四、范德华力与气体的摩尔体积

范德华力(又称分子作用力)是指存在于分子与分子之间或高分子化合物分子内官能团之间的作用力,简称分子间力。它主要包括:色散力、诱导力、取向力。
定义:范德华力(又称分子作用力)产生于 分子或原子之间的静电相互作用。其能量计算的经验方程为:U =B/r 12- A/r 6 (对于2 个碳原子间,其参数值为B =11.5 ×10-6 kJnm^12/mol ;A=5.96 × 10-3 kJnm^6/mol;不同原子间A、B 有不同取值)当两原子彼此紧密靠近电子云相互重叠时,发生强烈排斥,排斥力与距离12 次方成反比。图中低点是范德华力维持的距离作用力最大,称范德华半径。
范德华力又可以分为三种作用力:诱导力、色散力和取向力。
值得注意的是,虽然分子呈电中性,但是因为电子的运动,分子中的部分原子将会出现微弱电性,形成力的作用。
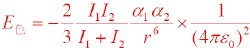
色散力(dispersion force 也称"伦敦力")所有分子或原子间都存在。是分子的瞬时偶极间的作用力,即由于电子的运动,瞬间电子的位置对原子核是不对称的,也就是说正电荷重心和负电荷重心发生瞬时的不重合,从而产生瞬时偶极。色散力和相互作用分子的变形性有关,变形性越大(一般分子量愈大,变形性愈大)色散力越大。色散力和相互作用分子的电离势有关,分子的电离势越低(分子内所含的电子数愈多),色散力越大。色散力的相互作用随着1/r6 而变化。其公式为:
I1 和I2 分别是两个相互作用分子的电离能,α1 和α2 是它们的极化率。
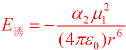
诱导力(induction force)在极性分子和非极性分子之间以及极性分子和极性分子之间都存在诱导力。由于极性分子偶极所产生的电场对非极性分子发生影响,使非极性分子电子云变形(即电子云被吸向极性分子偶极的正电的一极),结果使非极性分子的电子云与原子核发生相对位移,本来非极性分子中的正、负电荷重心是重合的,相对位移后就不再重合,使非极性分子产生了偶极。这种电荷重心的相对位移叫做"变形",因变形而产生的偶极,叫做诱导偶极,以区别于极性分子中原有的固有偶极。诱导偶极和固有偶极就相互吸引,这种由于诱导偶极而产生的作用力,叫做诱导力。在极性分子和极性分子之间,除了取向力外,由于极性分子的相互影响,每个分子也会发生变形,产生诱导偶极。其结果使分子的偶极距增大,既具有取向力又具有诱导力。在阳离子和阴离子之间也会出现诱导力。
诱导力与极性分子偶极矩的平方成正比。诱导力与被诱导分子的变形性成正比,通常分子中各原子核的外层电子壳越大(含重原子越多)它在外来静电力作用下越容易变形。相互作用随着1/r6 而变化,诱导力与温度无关。其公式:
α为极化率。
取向力(orientation force)取向力发生在极性分子与极性分子之间。由于极性分子的电性分布不均匀,一端带正电,一端带负电,形成偶极。因此,当两个极性分子相互接近时,由于它们偶极的同极相斥,异极相吸,两个分子必将发生相对转动。这种偶极子的互相转动,就使偶极子的相反的极相对,叫做"取向"。这时由于相反的极相距较近,同极相距较远,结果引力大于斥力,两个分子靠近,当接近到一定距离之后,斥力与引力达到相对平衡。这种由于极性分子的取向而产生的分子间的作用力,叫做取向力。取向力与分子的偶极矩平方成正比,即分子的极性越大,取向力越大。取向力与绝对温度成反比,温度越高,取向力就越弱关相互作用随着1/r6 而变化。其公式为:
μ1,μ2 为两个分子的偶极矩; r 为分子质心间的距离, k 为Boltzmann 常数,T 为热力学温度,负值表示能量降低。
三种力的关系:极性分子与极性分子之间,取向力、诱导力、色散力都存在;极性分子与非极性分子之间,则存在诱导力和色散力;非极性分子与非极性分子之间,则只存在色散力。这三种类型的力的比例大小,决定于相互作用分子的极性和变形性。极性越大,取向力的作用越重要;变形性越大,色散力就越重要;诱导力则与这两种因素都有关。但对大多数分子来说,色散力是主要的。实验证明,对大多数分子来说,色散力是主要的;只有偶极矩很大的分子(如水),取向力才是主要的;而诱导力通常是很小的。极化率α反映分子中的电子云是否容易变形。虽然范德华力只有0.4-4.0kJ/mol,但是在大量大分子间的相互作用则会变得十分稳固。比如C-H 在苯中范德华力有7 kJ/mol,而在溶菌酶和糖结合底物范德华力却有60kJ/mol,范德华力具有加和性。
范德华力是分子间的相互作用,是分子之间的道力、磁力、电力的综合作用。分子之间存在着三种力,道力、磁力和电力,分子之间的相互作用是三种力的综合作用,分子之间距离较大时主要体现的是磁力和电力的相互作用,分子之间距离较小时,主要体现的是道力的相互作用,道力包括两种性质的力即道引力和道斥力,当两个分子粒子接近时体现道斥力,当两个分子粒子远离时体现道引力。这样就使两个分子粒子保持一定的距离,既不能远离也不能接近。接近了体现斥力,远离了体现引力,所以气体分子之间相互作用的范德华力就是这样一种性质的力。就是由于范德华力是道力、磁力、电力的综合作用的力,就是这个原因,气体分子的摩尔体积才是约为22.4升。决定气体摩尔体积的大小的主要因素是道力,而决定道力的主要因素是自旋角速度,气体分子自旋角速度的直接体现是温度,气体分子的自旋角速度越大,系统的温度越高,气体分子的自旋角速度越小,系统的温度越低。所以气体分子系统的温度越高摩尔体积越大,气体分子系统的温度越低摩尔体积越小。气体分子的质量影响是次要原因,因为道力与质量成正比,与自旋角速度的平方成正比,气体分子的质量是一个很小的值,而气体分子的自旋角速度是一个极大的值,再加上平方,就是一个极大的值,所以气体分子的道力就是气体分子的自旋角速度决定的,气体分子的质量对道力的影响极小,可以忽略不计。这就是在标况下,所有气体的摩尔体积都约等于22.4升的真正原因。这也是为什么我们在压缩气体体积时体现斥力,拉开大气体体积时体现引力的原因。
分子间的相互作用力(范德华力),范德华力是分子间的道力、磁力和电力的综合作用,其中起主要作用的是道力,磁力和电力的作用很小都可以忽略不计,所以范德华力是一个具有引力和斥力两种性质的力。原因是气体分子之间的距离很远,起决定作用的是道力。所以我们要压缩分子时体现出斥力,拉开分子时体现出引力(马德堡半球)。极性分子与非极性分子的差别是极性,也就是磁力和电力的作用有差别,但是这个差别可以忽略不计,因此也没有必要区分取向力、诱导力、色散力。
五、只有电力和磁力,根本不存在电磁力
磁力是由道力形成的一种力。磁力是由一个小的自旋体围绕一个较大的自旋体公转形成的力,形成的物质叫磁子,磁力是磁子之间的相互作用,是具有磁性的物质之间的相互作用。
电力是由道力和磁力形成的力,是具有电性的物质之间的相互作用,同种电性物质之间的电力表现为电斥力,异种电性物质之间的电力表现为电引力。电力源于道力和磁力,是一个由道力和磁力形成的力。
电磁力是不存在的,只存在电力和磁力。
第一作用物质不同:磁力是具有磁性的物质之间的相互作用,电力是具有电性的物质之间的相互作用。
第二作用性质不同:磁力是磁性物质之间的相互作用,电力是电性物质之间的相互作用。
第三作用的根源不同:磁力是道力形成的力,电力是道力和磁力形成的力,电力中包含有磁力,磁力中没有电力。
光子有磁性,所以光子间的相互作用存在磁力和道力,光子间的相互作用是道力和磁力综合作用的结果。电荷有电性,所以电荷间的相互作用存在磁力和道力,电荷间的相互作用是道力和磁力和电力综合作用的结果。光子没有电性从何而来的电力?所以光子也不存在电磁力,光波属于磁波,光波也不属于电磁波,电磁波的概念就不对。光波没有电性,如何可以纳入电磁波范围,那么为什么不把声波纳入电磁波范围?
现代物理学中的电磁力是电力、磁力、道力的综合作用,因此根本就不存在电磁力,电力和磁力根本也不可能统一,原因很简单,作用的物质不同,光子有磁力,没有电力,光子之间就不可能有电力。电磁力和电磁波概念的引入就是一个错误。可以计算,可以应用,没错,但是不符合哲学的基本原理,其中的奥秘在实验测得的常数K之中。

